题目内容
复数
,
是
的共轭复数,则
对应的点在( )
A.第一象限 B.第二象限 C.第三象限 D.第四象限
【答案】
C
【解析】
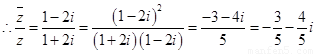
试题分析:
,
,
,所对应的点的坐标为
,位于第三象限,故选C.
考点:1.共轭复数;2.复数的除法;3.复数的几何意义
练习册系列答案
相关题目
题目内容
复数
,
是
的共轭复数,则
对应的点在( )
A.第一象限 B.第二象限 C.第三象限 D.第四象限
C
【解析】
试题分析:
,
,
,所对应的点的坐标为
,位于第三象限,故选C.
考点:1.共轭复数;2.复数的除法;3.复数的几何意义