题目内容
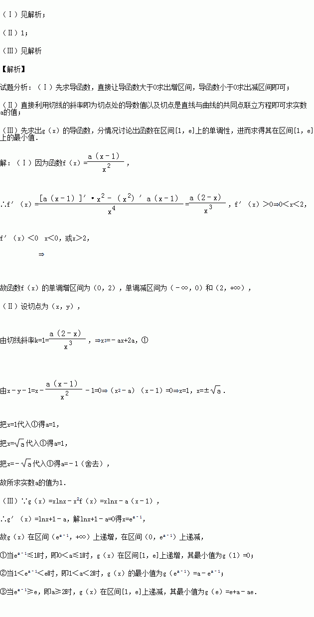
(2013•高密市模拟)已知函数
,其中a>0.
(Ⅰ)求函数f(x)的单调区间;
(Ⅱ)若直线x﹣y﹣1=0是曲线y=f(x)的切线,求实数a的值;
(Ⅲ)设g(x)=xlnx﹣x2f(x),求g(x)在区间[1,e]上的最小值.(其中e为自然对数的底数)
练习册系列答案
相关题目
题目内容
(2013•高密市模拟)已知函数
,其中a>0.
(Ⅰ)求函数f(x)的单调区间;
(Ⅱ)若直线x﹣y﹣1=0是曲线y=f(x)的切线,求实数a的值;
(Ⅲ)设g(x)=xlnx﹣x2f(x),求g(x)在区间[1,e]上的最小值.(其中e为自然对数的底数)