题目内容
定义运算a*b=
【答案】分析:分析:根据定义a*b=
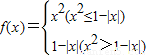
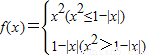
化简函数f(x)=x2*(1-|x|)为分段函数
,为了计算的方便则令t=|x|化简成关于t的分段函数
,根据函数的单调性求其最大值即可.
解答:解:由题意知
∵a*b=
∴函数f(x)=x2*(1-|x|)可化简为:
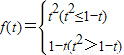
令t=|x|得:
∴要求原分段函数的最大值,只需求
的最大值
即:
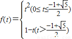
又∵函数f(t)在区间[0,
]上单调递增函数,在区间(
,+∞)上单调递减函数,
∴f(t)的最大值在t=
时取得,即
故答案为:
.
点评:本题主要考查两点,一点是对新定义的理解,二点是利用函数单调性求分段函数的最值,属于中档题型.
解答:解:由题意知
∵a*b=
∴函数f(x)=x2*(1-|x|)可化简为:
令t=|x|得:
∴要求原分段函数的最大值,只需求
即:
又∵函数f(t)在区间[0,
∴f(t)的最大值在t=
故答案为:
点评:本题主要考查两点,一点是对新定义的理解,二点是利用函数单调性求分段函数的最值,属于中档题型.
练习册系列答案
相关题目