题目内容
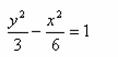
若双曲线与椭圆有相同的焦点,与双曲线有相同渐近线,求双曲线方程.
(坐标系与参数方程选做题) 在极坐标系
中,点关于直线
的对称点的极坐标为 .
函数的最大值为( )
A. B. C. D.
为等比数列,若和是方程++=的两个根,则=________.
设集合,,则为( )
A. B. C. D.R
若函数是幂函数,则的值为( )
已知集合,则下列结论正确的是
A. B. C. D.
已知平面向量,,若∥,则等于( )