题目内容
x2+y2+2ax+a4-4和x2+y2-4by-1+4b2=0恰有三条公切线,若a∈R,b∈R,且ab≠0,则
【答案】分析:先将圆的方程配方得出圆心坐标与半径,根据x2+y2+2ax+a4-4=0和x2+y2-4by-1+4b2=0恰有三条公切线,得出两圆外切,圆心距等于两半径之和,得出a,b的关系式;a2+4b2=25,再利用基本不等式即可求得
的最小值.
解答:解:∵x2+y2+2ax+a2-4=0和x2+y2-4by-1+4b2=0恰有三条公切线,
∴两圆外切,
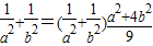
∴圆心距等于两半径之和,即得:a2+4b2=9,
∴
=
(5+
+
)≥
(5+4)=1
当且仅当a=2b时取等号,
则
的最小值为1
故答案为:1
点评:本题主要考查了基本不等式在最值问题中的应用.要把握住基本不等式中的“一正”,“二定”,“三相等”的特点.
解答:解:∵x2+y2+2ax+a2-4=0和x2+y2-4by-1+4b2=0恰有三条公切线,
∴两圆外切,
∴圆心距等于两半径之和,即得:a2+4b2=9,
∴
=
当且仅当a=2b时取等号,
则
故答案为:1
点评:本题主要考查了基本不等式在最值问题中的应用.要把握住基本不等式中的“一正”,“二定”,“三相等”的特点.
练习册系列答案
相关题目