题目内容
已知函数①?x∈(0,+∞),x为f(x)的一个极大值点;
②?x∈(8,+∞),f(x)>0.
则实数a的取值范围是( )
A.(4,8]
B.[8,+∞)
C.(-∞,0)∪[8,+∞)
D.(-∞,0)∪(4,8]
【答案】分析:求导数,由①得到
;
由②?x∈(8,+∞),f(x)>0,故只需f(x)在(8,+∞)上的最小值大于0即可,
分别解出不等式即可得到实数a的取值范围为4<a≤8.
解答:解:由于
,则
=
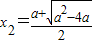
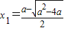
令f′(x)=0,则
,
故函数f(x)在(-∞,x1),(x2,+∞)上递增,在(x1,x2)上递减
由于?x∈(8,+∞),f(x)>0,故只需f(x)在(8,+∞)上的最小值大于0即可,
当x2>8,即
时,函数f(x)在(8,+∞)上的最小值为
,此时无解;
当x2≤8,即
时,函数f(x)在(8,+∞)上的最小值为
,解得a≤8.
又由?x∈(0,+∞),x为f(x)的一个极大值点,故
解得a>4;
故实数a的取值范围为4<a≤8
故答案为 A
点评:本题考查函数在某点取得极值的条件,属于基础题.
由②?x∈(8,+∞),f(x)>0,故只需f(x)在(8,+∞)上的最小值大于0即可,
分别解出不等式即可得到实数a的取值范围为4<a≤8.
解答:解:由于
令f′(x)=0,则
故函数f(x)在(-∞,x1),(x2,+∞)上递增,在(x1,x2)上递减
由于?x∈(8,+∞),f(x)>0,故只需f(x)在(8,+∞)上的最小值大于0即可,
当x2>8,即
当x2≤8,即
又由?x∈(0,+∞),x为f(x)的一个极大值点,故
故实数a的取值范围为4<a≤8
故答案为 A
点评:本题考查函数在某点取得极值的条件,属于基础题.
练习册系列答案
相关题目
已知函数
,若同时满足条件:
①∃x0∈(0,+∞),x0为f(x)的一个极大值点;
②∀x∈(8,+∞),f(x)>0.
则实数a的取值范围是( )
|
| A. | (4,8] | B. | [8,+∞) | C. | (﹣∞,0)∪[8,+∞) | D. | (﹣∞,0)∪(4,8] |
已知函数
,若同时满足条件:
①∃x0∈(0,+∞),x0为f(x)的一个极大值点;
②∀x∈(8,+∞),f(x)>0.
则实数a的取值范围是( )
|
| A. | (4,8] | B. | [8,+∞) | C. | (﹣∞,0)∪[8,+∞) | D. | (﹣∞,0)∪(4,8] |