题目内容
设A(
【答案】分析:利用截距式可得线段AB的方程,再利用“乘1法”和基本不等式即可得出.
解答:解:∵A(
,0),B(0,
),∴直线AB的方程为
,∴点P(x,y)满足2x+3y=1
.
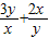
∴
=
=5+
=
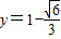
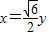
.当且仅当
,
时取等号.
故
的最小值是
.
故答案为
.
点评:熟练掌握截距式、“乘1法”和基本不等式的性质是解题的关键.
解答:解:∵A(
∴
故
故答案为
点评:熟练掌握截距式、“乘1法”和基本不等式的性质是解题的关键.
练习册系列答案
相关题目