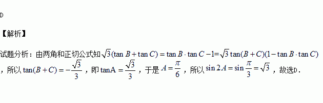
题目内容
在中,若,则( )
A、? B、 C、? D、
在平面直角坐标系中,点P到两点,的距离之和等于4,设点P的轨迹为.
(1)写出C的方程;
(2)设直线与C交于A,B两点.k为何值时?此时的值是多少?
选修4-4:坐标系与参数方程
在平面直角坐标系中,以坐标原点为极点,x轴的非负半轴为极轴建立坐标系.已知点A的极坐标为,直线的极坐标方程为,且点A在直线上.
(1)求a的值及直线的直角坐标方程;
(2)圆C的参数方程为,(α为参数),试判断直线与圆的位置关系.
各项均为正数的等差数列中,,则前12项和的最小值为( )
A. B. C. D.
复数满足(是虚数单位),则 ( )
设函数.
(Ⅰ)求函数的单调区间;
(Ⅱ)设是否存在极值,若存在,请求出极值;若不存在,请说明理由;
(Ⅲ)当时,证明:.
已知为实数,用[]表示不超过的最大整数,例如,,.对于函数,若存在且,使得,则称函数是函数.
(Ⅰ)判断函数,是否是函数;(只需写出结论)
(Ⅱ)已知,请写出的一个值,使得为函数,并给出证明;
(Ⅲ)设函数是定义在上的周期函数,其最小周期为.若不是函数,求的最小值.
投掷一枚均匀的骰子,则落地时,向上的点数是2的倍数的概率是 ;落地时,向上的点数为奇数的概率是 .
设函数是定义在R上的偶函数,且在区间上单调递增,则满足不等式的取值范围是________.