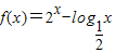
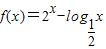
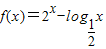
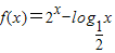
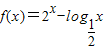
题目内容

已知a是函数的零点,若0<x<a,则f(x)的值满足( )
A.f(x)=0
B.f(x)>0
C.f(x)<0
D.f(x)的符号不确定
【答案】分析:a是函数的零点,函数是增函数,本题根据函数的单调性和零点的性质进行求解.
解答:解:∵在(0,+∞)上是增函数,a是函数的零点,即f(a)=0,
∴当0<x<a时,f(x)<0,
故选 C.
点评:函数是增函数,单调函数最多只有一个零点,a是函数的唯一零点.
练习册系列答案
相关题目

违法和不良信息举报电话:027-86699610 举报邮箱:58377363@163.com

精英家教网