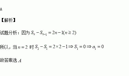
题目内容
数列{}的前项和,若-2-1(≥2),且3,则1的值为( )
A.0 B.1 C.3 D.5
下列函数与是相同函数的是
(A) ;
(B) ;
(C) ;
(D) ;
若幂函数的图像过点,则的值为( )
A.6 B.9 C.16 D.27
函数(且)当时,恒有,有( )
A.在上是减函数
B.在上是减函数
C.在上是增函数
D.在上是增函数
二次函数的对称轴为,则当x=1时,y的值为 .
“x>0 ”是“ ”的 ( )
A.充分不必要条件
B.必要不充分条件
C.充分必要条件
D.既不充分也不必要条件
某单位有老年人28人,中年人54人,青年人81人,为了调查他们的身体状况的某项指标,需从他们中间抽取一个容量为36样本,则老年人、中年人、青年人分别各抽取的人数是( )
A.6,12,18 B.7,11,19 C.6,13,17 D.7,12,17
已知点是所在平面内一点,若,则与的面积比为( )
A. B. C. D.
已知函数.
(1)求的解析式;
(2)用单调性的定义证明函数在其定义域上为增函数;
(3)解关于的不等式.