题目内容
设 是虚数单位,复数为纯虚数,则实数为
A
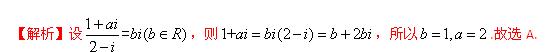
解析
设是虚数单位,复数为纯虚数,则实数为 .
设是虚数单位,复数为纯虚数,则实数为
A、 B、 C、 D、
设是虚数单位,复数为纯虚数,则实数为( )
A.2 B.-2 C. D.
设 是虚数单位,复数为纯虚数,则实数a 为
(A)2 (B) 2 (C) (D)
设 是虚数单位,复数为纯虚数,则实数a 为 ( )