题目内容
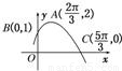
已知函数f(x)的部分图象如图所示,则f(x)的解析式可能为( )A.f(x)=2cos(
B.f(x)=
C.f(x)=2sin(
D.f(x)=2sin(4x+
【答案】分析:根据函数图象求出A,T,求出ω,利用点(0,1)在曲线上,求出φ,得到解析式,判定选项即可.
解答:
解:设函数f(x)=Asin(ωx+φ),由函数的最大值为2知A=2,
又由函数图象知该函数的周期T=4×(
-
)=4π,
所以ω=
,将点(0,1)代入得φ=
,
所以f(x)=2sin(
x+
)=2cos(
x-
).
故选A
点评:本题考查由y=Asin(ωx+φ)的部分图象确定其解析式,正确视图,选择适当的点的坐标,能够简化计算过程,本题中诱导公式的应用,也为正确结果的选取设置了障碍.
解答:
又由函数图象知该函数的周期T=4×(
所以ω=
所以f(x)=2sin(
故选A
点评:本题考查由y=Asin(ωx+φ)的部分图象确定其解析式,正确视图,选择适当的点的坐标,能够简化计算过程,本题中诱导公式的应用,也为正确结果的选取设置了障碍.
练习册系列答案
相关题目