题目内容
计算由直线y=x-4,曲线y=
【答案】分析:先根据题意画出所围图形,求出直线y=x-4,曲线y=
的交点坐标,求面积时,解法1:将y看成积分变量,s=
,解法2:利用补的方法得s=
,解法3:利用割的方法得s=
,最后利用定积分的定义解之即可.
解答:解:作出直线y=x-4,曲线y=
的草图,
所求面积为图中阴影部分的面积.
解方程组
得直线y=x-4与曲线y=
交点的坐标为(8,4).
直线y=x-4与x轴的交点为(4,0).因此,所求图形的面积为
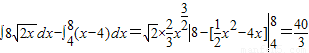
(解法1)s=
(解法2)s=
.
(解法3)s=
.
点评:本题主要考查了利用定积分在面积中的应用,解题的关键是求出积分的上下限,难点是转化,属于中档题.
解答:解:作出直线y=x-4,曲线y=
所求面积为图中阴影部分的面积.
解方程组
得直线y=x-4与曲线y=
直线y=x-4与x轴的交点为(4,0).因此,所求图形的面积为
(解法1)s=
(解法2)s=
(解法3)s=
点评:本题主要考查了利用定积分在面积中的应用,解题的关键是求出积分的上下限,难点是转化,属于中档题.
练习册系列答案
相关题目
随机选取15家销售公司,由营业报告中查出其上年度的广告费x(占总费用的百分比)及盈利额y(占销售总额的百分比)列表如下:
| x | 1.5 | 0.8 | 2.6 | 1.0 | 0.6 | 2.8 | 1.2 | 0.9 |
| y | 3.1 | 1.9 | 4.2 | 2.3 | 1.6 | 4.9 | 2.8 | 2.1 |
| x | 0.4 | 1.3 | 1.2 | 2.0 | 1.6 | 1.8 | 2.2 | |
| y | 1.4 | 2.4 | 2.4 | 3.8 | 3.0 | 3.4 | 4.0 |
试根据上述资料:
画出散点图;
计算出这两组变量的相关系数;
在显著水平0、05的条件下,对变量x与y进行相关性检验;
如果变量x与y之间具有线性相关关系,求出回归直线防城;
已知某销售公司的广告费占其总费用的1、7%,试估计其盈利净额占销售总额的百分比。