题目内容
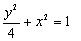
已知椭圆
:
,椭圆
以
的长轴为短轴,且与
有相同的离心率。
(1)求椭圆
的方程;
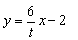
(2)设
为坐标原点,点
分别在椭圆
和
上,
,求直线
的方程。
解 :I)方法1:椭圆的一个焦点是![]()
,
![]()
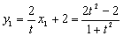
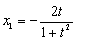
直线![]()
方程![]()
,![]()
方程![]()
,
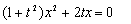
![]()
代入![]()
得![]()
,
解得![]()
,![]()
,
∴![]()
, ……………(9分)
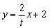
![]()
代入![]()
得![]()
![]()
![]()
练习册系列答案
相关题目
题目内容
已知椭圆
:
,椭圆
以
的长轴为短轴,且与
有相同的离心率。
(1)求椭圆
的方程;
(2)设
为坐标原点,点
分别在椭圆
和
上,
,求直线
的方程。
解 :I)方法1:椭圆的一个焦点是![]()
,
![]()
直线![]()
方程![]()
,![]()
方程![]()
,
![]()
代入![]()
得![]()
,
解得![]()
,![]()
,
∴![]()
, ……………(9分)
![]()
代入![]()
得![]()
![]()
![]()