题目内容
已知椭圆C:(Ⅰ)求椭圆C的方程;
(Ⅱ)若过点M(2,0)的直线与椭圆C相交于A,B两点,设P为椭圆上一点,且满足
【答案】分析:(Ⅰ)由题意知
,所以
.由此能求出椭圆C的方程.
(Ⅱ)由题意知直线AB的斜率存在.设AB:y=k(x-2),A(x1,y1),B(x2,y2),P(x,y),由
得(1+2k2)x2-8k2x+8k2-2=0再由根的判别式和嘏达定理进行求解.
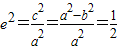
解答:解:(Ⅰ)由题意知
,所以
.
即a2=2b2.(2分)
又因为
,所以a2=2,
.
故椭圆C的方程为
.(4分)
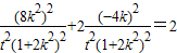
(Ⅱ)由题意知直线AB的斜率存在.设AB:y=k(x-2),A(x1,y1),B(x2,y2),P(x,y),
由
得(1+2k2)x2-8k2x+8k2-2=0.△=64k4-4(2k2+1)(8k2-2)>0,
.(6分)
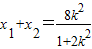
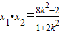
,
∵
∴(x1+x2,y1+y2)=t(x,y),
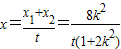
∴
,
∵点P在椭圆上,∴
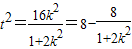
,∴16k2=t2(1+2k2).(8分)
∵
<
,∴
,∴
∴
,∴(4k2-1)(14k2+13)>0,∴
.(10分)
∴
,∵16k2=t2(1+2k2),∴
,
∴
或
,∴实数t取值范围为
.(12分)
点评:本题考查椭圆方程的求法和求实数t取值范围.解题时要认真审题,注意挖掘题设中的隐含条件,合理地运用根的判别式和韦达定理进行解题.
(Ⅱ)由题意知直线AB的斜率存在.设AB:y=k(x-2),A(x1,y1),B(x2,y2),P(x,y),由
解答:解:(Ⅰ)由题意知
即a2=2b2.(2分)
又因为
故椭圆C的方程为
(Ⅱ)由题意知直线AB的斜率存在.设AB:y=k(x-2),A(x1,y1),B(x2,y2),P(x,y),
由
∴
∵点P在椭圆上,∴
∵
∴
∴
∴
点评:本题考查椭圆方程的求法和求实数t取值范围.解题时要认真审题,注意挖掘题设中的隐含条件,合理地运用根的判别式和韦达定理进行解题.
练习册系列答案
相关题目