题目内容
凸四边形
中,其中
为定点,
为动点,满足
.
(1)写出
与
的关系式;
(2)设
的面积分别为
和
,求
的最大值,以及此时凸四边形
的面积。
【答案】
(1)
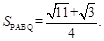
;(2)
的最大值为
,此时,凸四边形
的面积
.
【解析】
试题分析:(1)在
和
中由余弦定理可得
与
的关系式;(2)首先列出
关于
的函数关系式,再求最值,最后可求出凸四边形
的面积.
试题解析:(1)由余弦定理,在
中,
=
,在
中,
=
。所以
=
,即
4分
(2)
![]()
=![]()
当
时,
此时,
12分
考点:1、余弦定理;2、三角形面积公式;3、三角函数的最值求法.
练习册系列答案
相关题目
下列四个命题中,其中为真命题的是( )
| A、?x∈R,x2+3<0 | B、?x∈N,x2≥1 | C、?x∈Z,使x5<1 | D、?x∈Q,x2=3 |