题目内容
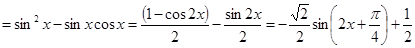
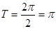
函数的最小正周期为 .
【解析】
试题分析: ,则.
考点:1.三角恒等变换;2.周期公式.
已知函数,下面结论错误的是( )
A.函数的最小正周期为 B.函数在区间上是增函数
C.函数的图象关于直线对称 D.函数是奇函数
函数()的最小正周期为 ▲ .
已知函数,下面结论错误的是( ) A.函数的最小正周期为 B.函数在区间上是增函数 C.函数的图象关于直线对称 D.函数是奇函数