题目内容
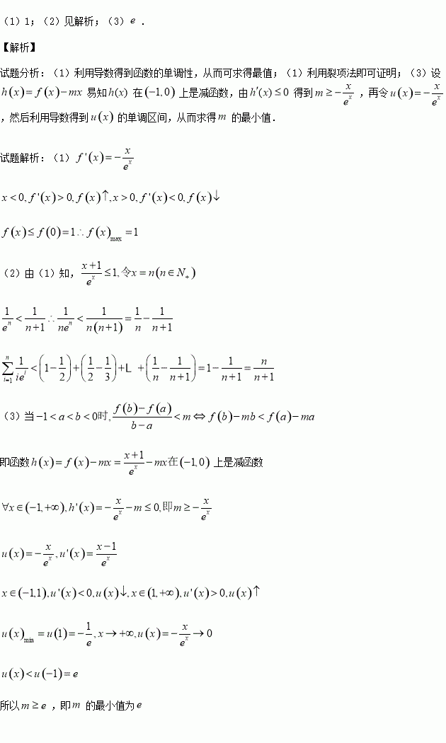
设函数.
(1)求函数的最大值;
(2)对于任意的正整数,求证:;
(3)当时,成立,求实数的最小值.
如图所示,M、N、P分别是正方体ABCD-A1B1C1D1的棱AB、BC、DD1上的点.
(Ⅰ)若,求证:无论点P在DD1上如何移动,总有BP⊥MN;
(Ⅱ)棱DD1上是否存在这样的点P,使得平面APC1⊥平面A1ACC1?证明你的结论.
如图,在矩形中,,为线段上一动点,现将沿折起,使点在面上的射影在直线上,当从运动到,则所形成轨迹的长度为( )
A. B. C. D.
已知数列的前项和,正项等比数列中,,,则( )
在同一直角坐标系中,表示直线与正确的是( )
在复平面内,复数对应的点位于( )
A.第一象限 B.第二象限 C.第三象限 D.第四象限
如图,已知四棱锥P-ABCD,底面ABCD为边长为2的菱形,PA⊥平面ABCD,∠ABC=60°,E,F分别是BC,PC的中点.
(Ⅰ)判定AE与PD是否垂直,并说明理由;
(Ⅱ)若PA=2,求二面角E-AF-C的余弦值.
已知的顶点,边上的高所在直线的方程为,边上中线所在直线的方程为.
求:(1)点的坐标;
(2)直线的方程.
已知分别是中角的对边,且
(1)求角的大小;
(2)若求的值.