题目内容
【答案】分析:(1)由f(x)在(0,1)上递增,可得当x∈(0,1)时,f′(x)=2x-a+
≥0恒成立,即a≤2x+
,进而将问题转化为函数恒成立问题,构造函数g(x)=2x+
,求出x∈(0,1)时的最值,可得答案.
(2)由(1)可得a=1时,f(x)在(0,1)上递增,即在区间(0,1)上,f(x)>f(0),即ln(x+1)>x-x2,进而利用对数的运算性质,可证得结论.
解答:解:(1)f(x)的定义域为(-1,+∞),f′(x)=2x-a+
∵f(x)在(0,1)上递增,
∴当x∈(0,1)时,f′(x)=2x-a+
≥0恒成立,
即a≤2x+
令g(x)=2x+
,则当x∈(0,1)时,g′(x)=2-
>0,
∴g(x)在(0,1)上递增,
∴g(x)在(0,1)上的最小值为g(0)=1
∴a≤1
证明:(2)由(1)得:当a=1时,f(x)在(0,1)上递增
∴在(0,1)上,f(x)>f(0)⇒ln(x+1)>x-x2
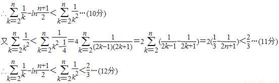
令x=
(n≥2),则
∴

点评:本题考查的知识点是利用导数研究函数的单调性,不等式的证明,是函数与不等式的综合应用,难度较大,(2)的解答中要注意应用(1)的结论.
(2)由(1)可得a=1时,f(x)在(0,1)上递增,即在区间(0,1)上,f(x)>f(0),即ln(x+1)>x-x2,进而利用对数的运算性质,可证得结论.
解答:解:(1)f(x)的定义域为(-1,+∞),f′(x)=2x-a+
∵f(x)在(0,1)上递增,
∴当x∈(0,1)时,f′(x)=2x-a+
即a≤2x+
令g(x)=2x+
∴g(x)在(0,1)上递增,
∴g(x)在(0,1)上的最小值为g(0)=1
∴a≤1
证明:(2)由(1)得:当a=1时,f(x)在(0,1)上递增
∴在(0,1)上,f(x)>f(0)⇒ln(x+1)>x-x2
令x=
∴
点评:本题考查的知识点是利用导数研究函数的单调性,不等式的证明,是函数与不等式的综合应用,难度较大,(2)的解答中要注意应用(1)的结论.
练习册系列答案
相关题目