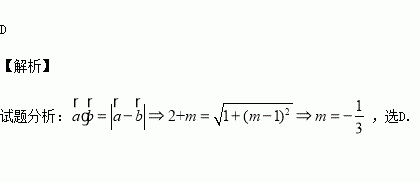
题目内容
已知向量,若,则实数( )
A. B. C. D.
函数是上的增函数,且,其中为锐角,并且使得函数在上单调递减,则的取值范围是 .
已知非零向量,满足,,则( )
已知等腰梯形的顶点都在抛物线上,且,则点到抛物线的焦点的距离是 .
已知函数,设,且,则的最小值为( )