题目内容

已知,若的夹角为,则的最大值为(     )

(A)     (B)         (C)       (D)

 

【答案】

D

【解析】

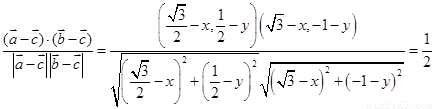
试题分析:已知,可得,所以,建立坐标系,以的角平分线所在直线为x轴,使得的坐标为的坐标为的坐标为,则由已知有,整理后有,这是一个圆,要求的最大值,即在圆上找一点离原点最近,显然是圆心到原点的距离加上半径,此时有最大值为

考点:向量的数量积,向量的模,向量的夹角.

 

练习册系列答案
相关题目

违法和不良信息举报电话:027-86699610 举报邮箱:58377363@163.com

精英家教网