题目内容
如图,已知
用
表示
,则
等于( )
![]()
A.
B.
C.
D.![]()
【答案】
B.
【解析】
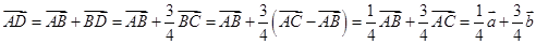
试题分析:
,故选B.
考点:1.平面向量的加法、减法和数乘运算;2.向量减法的三角形法则.
练习册系列答案
相关题目
| AB |
| a |
| AC |
| b |
| BD |
| DC |
| a |
| b |
| AD |
| AD |
A、
| ||||||||
B、
| ||||||||
C、
| ||||||||
D、
|
题目内容
如图,已知
用
表示
,则
等于( )
![]()
A.
B.
C.
D.![]()
B.
【解析】
试题分析:
,故选B.
考点:1.平面向量的加法、减法和数乘运算;2.向量减法的三角形法则.
| AB |
| a |
| AC |
| b |
| BD |
| DC |
| a |
| b |
| AD |
| AD |
A、
| ||||||||
B、
| ||||||||
C、
| ||||||||
D、
|