题目内容
已知log2(x+y)=log2x+log2y,则x+y的取值范围是 .
【答案】分析:利用对数式的运算性质把给出的等式变形,去掉对数符号后利用基本不等式转化为关于(x+y)的二次不等式,求解后即可得到x+y的取值范围.
解答:解:由log2(x+y)=log2x+log2y,得:log2(x+y)=log2xy (x>0,y>0),
∴x+y=xy,
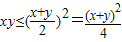
∵x>0,y>0,∴
,
则
,解得:x+y≤0(舍),或x+y≥4.
所以,x+y的取值范围是[4,+∞).
故答案为[4,+∞).
点评:本题考查了对数的运算性质,考查了基本不等式,运用了数学转化思想,训练了一元二次不等式的解法,是中档题.
解答:解:由log2(x+y)=log2x+log2y,得:log2(x+y)=log2xy (x>0,y>0),
∴x+y=xy,
∵x>0,y>0,∴
则
所以,x+y的取值范围是[4,+∞).
故答案为[4,+∞).
点评:本题考查了对数的运算性质,考查了基本不等式,运用了数学转化思想,训练了一元二次不等式的解法,是中档题.
练习册系列答案
相关题目