题目内容
若
且
则
的可能取值是( )
A.
B
C.
D. ![]()
A
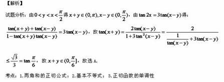
![]()
练习册系列答案
相关题目
设A,B,C是△ABC三个内角,且tanA,tanB是方程3x2﹣5x+1=0的两个实根,那么△ABC是( )
|
| A. | 钝角三角形 | B. | 锐角三角形 | C. | 等腰直角三角形 | D. | 以上均有可能 |