题目内容

等轴双曲线(a>0,b>0)的右焦点为F(c,0),方程的实根分别为,则三边长分别为||,||,2的三角形中,长度为2的边的对角是(    )                                                                                                                          

A.锐角         B.直角           C.钝角            D.不能确定

 

【答案】

C

【解析】

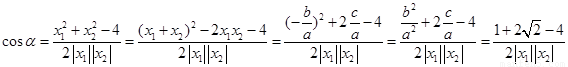
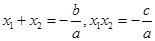
试题分析:等轴双曲线>0,b>0)的右焦点为F(c,0),可得,方程的实根分别为,得,长度为2的边的对角,由余弦定理可得 ,故为钝角.

考点:本题等轴双曲线的定义及性质,根与系数关系, 余弦定理, 考查学生的基本运算能力以及转化与化归能力.

 

练习册系列答案
相关题目

违法和不良信息举报电话:027-86699610 举报邮箱:58377363@163.com

精英家教网