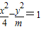
题目内容
双曲线
【答案】分析:确定双曲线的几何量,利用离心率公式建立方程,即可求得m的值.
解答:解:由题意,a2=4,b2=m,∴c2=a2+b2=4+m
∵双曲线
的离心率为
,
∴
∴m=16
故答案为:16.
点评:本题考查双曲线的几何性质,考查学生的计算能力,属于基础题.
解答:解:由题意,a2=4,b2=m,∴c2=a2+b2=4+m
∵双曲线
∴
∴m=16
故答案为:16.
点评:本题考查双曲线的几何性质,考查学生的计算能力,属于基础题.
练习册系列答案
相关题目