题目内容
设(Ⅰ)当a=
(Ⅱ)若f(x)为R上的单调函数,求a的取值范围.
【答案】分析:(Ⅰ)首先对f(x)求导,将a=
代入,令f′(x)=0,解出后判断根的两侧导函数的符号即可.
(Ⅱ)因为a>0,所以f(x)为R上为增函数,f′(x)≥0在R上恒成立,转化为二次函数恒成立问题,只要△≤0即可.
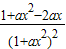
解答:解:对f(x)求导得
f′(x)=
×ex
(Ⅰ)当a=
时,若f′(x)=0,则4x2-8x+3=0,解得

结合①,可知

所以,
是极小值点,
是极大值点.
(Ⅱ)若f(x)为R上的单调函数,则f′(x)在R上不变号,
结合①与条件a>0知ax2-2ax+1≥0在R上恒成立,
因此△=4a2-4a=4a(a-1)≤0,由此并结合a>0,知0<a≤1.
点评:本题考查求函数的极值问题、已知函数的单调性求参数范围问题,转化为不等式恒成立问题求解.
(Ⅱ)因为a>0,所以f(x)为R上为增函数,f′(x)≥0在R上恒成立,转化为二次函数恒成立问题,只要△≤0即可.
解答:解:对f(x)求导得
f′(x)=
(Ⅰ)当a=
结合①,可知
所以,
(Ⅱ)若f(x)为R上的单调函数,则f′(x)在R上不变号,
结合①与条件a>0知ax2-2ax+1≥0在R上恒成立,
因此△=4a2-4a=4a(a-1)≤0,由此并结合a>0,知0<a≤1.
点评:本题考查求函数的极值问题、已知函数的单调性求参数范围问题,转化为不等式恒成立问题求解.
练习册系列答案
相关题目