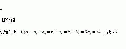
题目内容
设为等差数列的前项和,已知,则的值为( )
A.54 B.45 C.27 D.18
设m,n是两条不同的直线,α,β是两个不同的平面.则( )
A.若m⊥n,n∥α,则m⊥α
B.若m∥β,β⊥α,则m⊥α
C.若m⊥β,n⊥β,n⊥α,则m⊥α
D.若m⊥n,n⊥β,β⊥α,则m⊥α
下列函数中,既是偶函数,又在区间内是增函数的是
A. B.
C. D.
已知点,,,,则向量在方向上的投影为.
(本小题满分10分)
(1)设函数,其中θ∈,求导数的取值范围;
(2)若曲线与曲线在它们的公共点处具有公共切线,
求公共切线的方程.
某种细菌在培养过程中,每20分钟分裂一次(一个分裂二个)经过1小时,这种细菌由1个可以繁殖成( )
A.4个 B.7个 C.8个 D.16个
命题“,”的否定是 .
设函数 ,若是奇函数,则的值是( )
A. B. C. D.
(本小题满分12分)设函数,若
(1)求函数的解析式;
(2)画出函数的图象,并指出函数的定义域、值域、单调区间.