题目内容
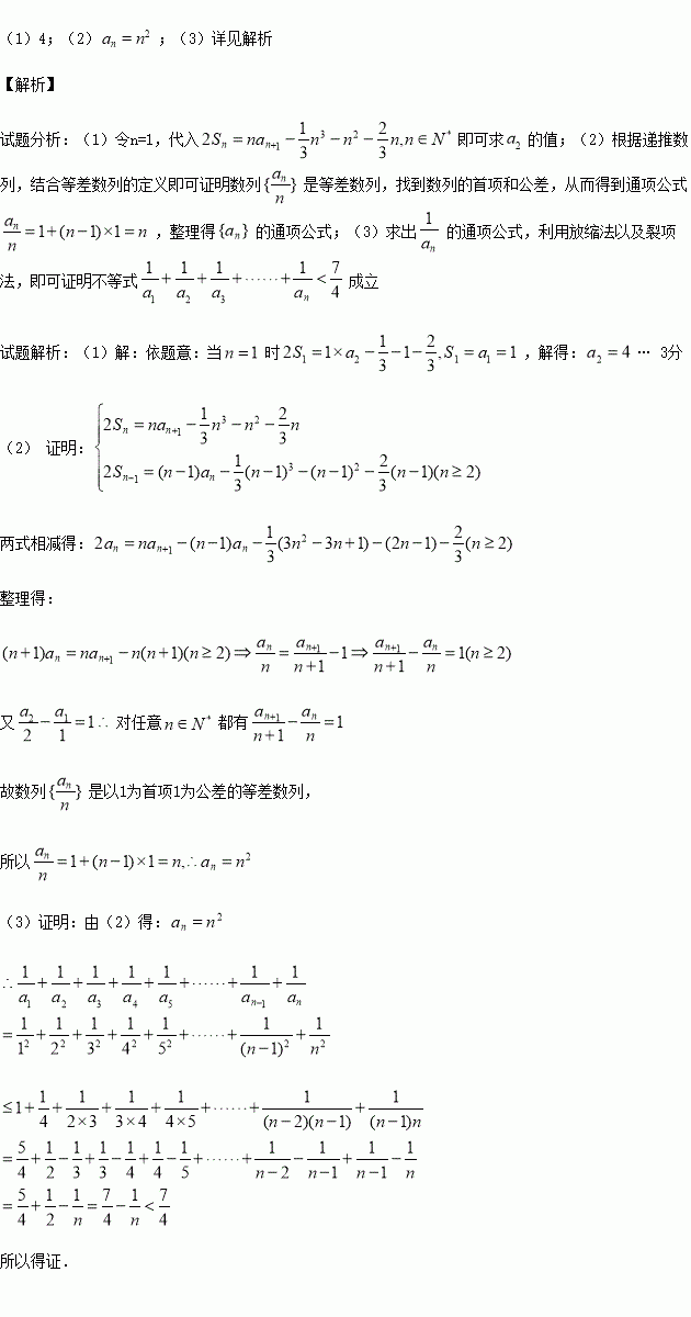
(本题满分16分)设数列的前项的和,已知.
(1)求的值;
(2)证明:数列是等差数列,并求出数列的通项公式;
(3)证明:对一切正整数,有.
已知一圆锥母线长为4,若过该圆锥顶点的所有截面面积范围是,则该圆锥的侧面展开图的扇形圆心角等于( )
A. B. C. D. 或
函数(其中)的图像如图所示,为了得到的
图像,则只需将的图像( )
(A)向左平移个长度单位
(B)向右平移个长度单位
(C)向左平移个长度单位
(D)向右平移个长度单位
定积分的值是( )
A. B. C. D.
(本小题满分16分)如图是东西走向的一水管,在水管北侧有两个半径都是10m的圆形蓄水池(分别为蓄水池的圆心),经测量,点,到水管的距离分别为55m和25m,m.以所在直线为轴,过点且与垂直的直线为轴,建立如图所示的直角坐标系(O为坐标原点).
(1)求圆的方程;
(2)计划在水管上的点处安装一接口,并从接口出发铺设两条水管,将中的水引到两个蓄水池中,问点到点O的距离为多少时,铺设的两条水管总长度最小?并求出该最小值.
(本小题满分12分)已知公差不为零的等差数列中,,且成等比数列.
(1)求数列的通项公式;
(2)令(),求数列的前项和.
如图执行的程序的功能是( ).
A.求两个正整数的最大公约数
B.求两个正整数的最大值
C.求两个正整数的最小值
D.求圆周率的不足近似值
若奇函数在区间[3,7]上是增函数且最小值为5,则在区间上是( )
A.增函数且最大值为 B.增函数且最小值为
C.减函数且最小值为 D.减函数且最大值为
(本小题满分12分)为了了解中学生的体能状况,某校抽取了n名高一学生进行一分钟跳绳次数测试,将所得数据整理后,画出频率分布直方图(如图),图中第二小组频数为7.
(1)求频率分布直方图中a的值及抽取的学生人数n;
(2)现从跳绳次数在[179.5,199.5]内的学生中随机选取2人,求至少有一人跳绳次数在[189.5,199.5]之间的概率。