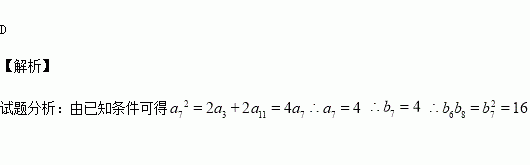
题目内容
已知各项不为的等差数列满足,数列是等比数列,且,则( )
A. B. C. D.
已知抛物线(<0)与双曲线有一个相同的焦点,则动点()的轨迹是( )
A.椭圆的一部分 B.双曲线的一部分 C.抛物线的一部分 D. 直线的一部分
过抛物线y2=4x的焦点,作倾斜角为的直线交抛物线于P、Q两点,O为坐标原点,则POQ的面积为_________.
已知且,设:指数函数在上为减函数,:不等式的解集为.若为假,为真,求的取值范围.
如图,已知直线:与抛物线相交于、两点,且、两点在抛物线准线上的射影分别是、,若,则的值是( )
已知椭圆C的两个焦点的坐标分别为,并求且经过点,M,N为椭圆C上关于轴对称的不同两点.
(I)求椭圆C的标准方程;
(II)若,试求点M的坐标;
(III)若为轴上的两点,且,试判断直线MA,NB的交点P是否在椭圆C上,并证明你的结论.
是的 条件.(从“充分”,“充分不必要”,“必要不充分”,“ 既不充分也不必要”中选择一个正确的填写)
已知为平面上的动点且,若P到轴的距离比到点的距离小1.
(Ⅰ)求点P的轨迹C的方程;
(Ⅱ)设过点的直线交曲线C与A,B两点,问是否存在这样的实数m,使得以线段AB为直径的圆恒过原点.
求圆心在上,与轴相切,且被直线截得弦长为的圆的方程.