题目内容

已知圆的圆心与点关于直线对称,直线与圆相交于两点,且,求圆的方程.

 

【答案】

【解析】

试题分析:设C点坐标为,根据对称的特征,直线PC的斜率与直线的斜率互为负倒数,且线段PC的中点在直线上,因此,由此可求得圆心,因此圆心到直线的距离,又,可求得,所求圆的方程为.

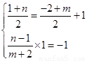
试题解析:设点P关于直线的对称点为,则有,即圆心为

又圆心到直线的距离

的方程为.

考点:直线与圆的位置关系.

 

练习册系列答案
相关题目

违法和不良信息举报电话:027-86699610 举报邮箱:58377363@163.com

精英家教网