题目内容
已知a1=b1=1,an+1=bn+n,bn+1=an+(-1)n,n∈N*,
(Ⅰ)求a3,a5的值;
(Ⅱ)求通项公式an;
(Ⅲ)求:
;
(Ⅳ)求证:
。
(Ⅰ)求a3,a5的值;
(Ⅱ)求通项公式an;
(Ⅲ)求:
(Ⅳ)求证:
解:
,
∴当n≥2时,代入
,得
,
(Ⅰ)
;
(Ⅱ)由(Ⅰ)知
,
,
∴
,
同理
,
,
…
,
∴
,
又
,
∴
,
∴
。
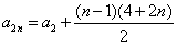
(Ⅲ)
,
∴
,
∴
。
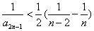
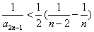
(Ⅳ)
,
∴
,
∴
,
当n≥3时,
,
∴
,
∴
,
,
,
…
,
∴
,
故
。
练习册系列答案
相关题目