题目内容
已知点P在曲线y=
【答案】分析:由导函数的几何意义可知函数图象在切点处的切线的斜率值即为其点的导函数值,结合函数的值域的求法利用基本不等式求出k的范围,再根据k=tanα,结合正切函数的图象求出角α的范围.
解答:
解:根据题意得f′(x)=-
,
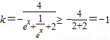
∵
,
且k<0
则曲线y=f(x)上切点处的切线的斜率k≥-1,
又∵k=tanα,结合正切函数的图象
由图可得α∈
,
故答案为:
.
点评:本题考查了导数的几何意义,以及利用正切函数的图象求倾斜角等基础知识,考查运算求解能力,考查数形结合思想、化归与转化思想.
解答:
∵
且k<0
则曲线y=f(x)上切点处的切线的斜率k≥-1,
又∵k=tanα,结合正切函数的图象
由图可得α∈
故答案为:
点评:本题考查了导数的几何意义,以及利用正切函数的图象求倾斜角等基础知识,考查运算求解能力,考查数形结合思想、化归与转化思想.
练习册系列答案
相关题目