题目内容
复数(是虚数单位)的模为 .
【解析】
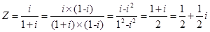
试题分析:根据复数的运算得,则
考点:复数的运算
定义一种运用如下:,则复数(是虚数单位)的共轭复数是 ( )
A. B.
C. D.
复数(是虚数单位)的虚部是( )
(A) (B) (C) (D)
复数(是虚数单位)的共轭复数的虚部为 ( )
(A)-1 (B)0 (C)1 (D)2
复数(是虚数单位)的虚部是 ( )
A. B. C. D.
下列说法正确的是( )
A、若,则
B、函数的图象的一条对称轴是直线
C、是直线与直线互相垂直的充要条件
D、复数(是虚数单位)的实部是