题目内容

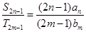
等差数列的前项和分别为,且,则=(    )

A.            B.             C.               D.

 

【答案】

D

【解析】

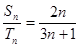
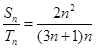
试题分析:本题容易由等差数列的性质,联想等差数列的前项和与项之间的关系:,所以我们有,即,当然不可能直接利用已知条件,考虑到等差数列的前项和一定为这种形式,故我们可以得出,从而可设,(为常数)的形式,于是有:

.选D.

考点:等差数列的前项和.

 

练习册系列答案
相关题目

违法和不良信息举报电话:027-86699610 举报邮箱:58377363@163.com

精英家教网