题目内容
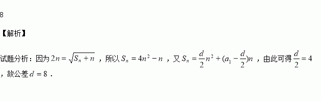
等差数列{an}的前n项和记为Sn,满足2n=,则数列{an}的公差d= .
若直线被圆C:截得的弦最短,则直线的方程是( )
A. B. C. D.
中,,则的面积为 .
已知函数f(x)=lnx.
(Ⅰ)若方程f(x+a)=x有且只有一个实数解,求a的值;
(Ⅱ)若函数g(x)=f(x) +x2 – mx ( m≥ )的极值点 x1,x2(x1<x2)恰好是函数h(x)=f(x)-cx2-bx的零点,求的y=( x1 - x2)h’()最小值.
把正整数按一定的规则排成了如图所示的三角形数表,设aij(i,j∈N*)是位于这个三角形数表中从上往下数第i行,从左往右数第j个数,如a42=8,若aij=2015,则i+j= .
一个单位共有职工200人,其中不超过45岁的有120人,超过45岁的有80人,为了调查职工的健康状况,用分层抽样的方法从全体职工中抽取一个容量为25的样本,应抽取超过45岁的职工 人.
已知曲线,将曲线绕坐标原点逆时针旋转后,求得到的曲线的方程.
一个袋子里装有大小相同的黑球和白球共个, 已知从袋中任意摸出个球,得到黑球概率是,则从袋中任意摸出个球,至少得到个白球概率是 .
如果把直角三角形的三边都增加同样的长度,则这个新的三角形的形状为( )
A.锐角三角形 B.直角三角形 C.钝角三角形 D.由增加的长度决定