题目内容

已知D、E是边长为3的正三角形的BC边上的两点,且,现将分别绕AD和AE折起,使AB和AC重合(其中B、C重合).则三棱锥的内切球的表面积是(   )

A.        B.          C.         D.

 

【答案】

B

【解析】

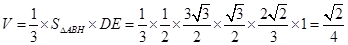
试题分析:如下图所示,

.设内切球的半径为r,则,所以内切球的表面积为:.

考点:空间几何体的体积及表面积.

 

练习册系列答案
相关题目

违法和不良信息举报电话:027-86699610 举报邮箱:58377363@163.com

精英家教网