题目内容
若复数A.(-∞,-3]∪[3,+∞)
B.(-∞,-
C.[-3,3]
D.[-
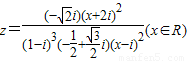
【答案】分析:先由得复数的运算法则,把
等价转化为z=
,所以|z|=
=
,由此能求出x的取值范围.
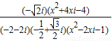
解答:解:∵
=
∴|z|=|
|
=
=
,
∴
,
整理,得3x2≥9,
解得x
,或x
.
故选B.
点评:本题考查复数的模的运算,计算量大,较繁琐,容易出错.解题时要注意积的模等于模的积.
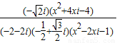
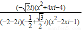
解答:解:∵
=
∴|z|=|
=
=
∴
整理,得3x2≥9,
解得x
故选B.
点评:本题考查复数的模的运算,计算量大,较繁琐,容易出错.解题时要注意积的模等于模的积.
练习册系列答案
相关题目