题目内容
计算:(1)
(2)
【答案】分析:直接按照复数代数形式的运算法则计算求解即可.
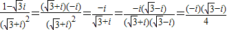
解答:解:(1)
=
=
=
.
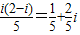
(2)
=
.
点评:本题考查复数代数形式的混合运算.在除法的运算中,关键是分子分母同乘以分母的共轭复数,实现分母实数化.
解答:解:(1)
(2)
点评:本题考查复数代数形式的混合运算.在除法的运算中,关键是分子分母同乘以分母的共轭复数,实现分母实数化.
练习册系列答案
相关题目
题目内容
计算: