题目内容
椭圆25x2+9y2=225的长轴长,短轴长,离心率依次是( )A.5,3,
B.10,6,
C.5,3,
D.10,6,
【答案】分析:将椭圆方程整理为标准形式:
,由此可得a、b、c的值,再结合长轴长,短轴长,离心率的定义,即可求出正确答案.
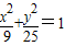
解答:解:整理椭圆方程为标准形式:
,
∴a2=25,b2=9,且焦点在y轴上,
可得c2=a2-b2=16
∵a、b、c均为正数,
∴a=5,b=3,c=4
可得长轴长为2a=10,短轴长为2b=6,离心率e=
.
故选B
点评:本题给出一个特殊的椭圆,通过求长轴长、短轴长和离心率,着重考查了椭圆的基本概念,属于基础题.
解答:解:整理椭圆方程为标准形式:
∴a2=25,b2=9,且焦点在y轴上,
可得c2=a2-b2=16
∵a、b、c均为正数,
∴a=5,b=3,c=4
可得长轴长为2a=10,短轴长为2b=6,离心率e=
故选B
点评:本题给出一个特殊的椭圆,通过求长轴长、短轴长和离心率,着重考查了椭圆的基本概念,属于基础题.
练习册系列答案
相关题目