题目内容
过点P(2,1)的直线l与x轴正半轴交于点A,与y轴正半轴交于点B.(1)求u=|OA|+|OB|的最小值,并写出取最小值时直线l的方程;
(2)求v=|PA|•|PB|的最小值,并写出取最小值时直线l的方程.
【答案】分析:(1)设出直线方程的截距式,用含有一个字母的代数式表示出u,然后利用基本不等式求最小值;
(2)由两点间的距离公式求出|PA|,|PB|,代入v=|PA|•|PB|后取平方,然后利用基本不等式求最值.
解答:解:(1)设点A(a,0),B(0,b),则直线l:
∵P(2,1)在直线l上,∴
,∴
,∵a,b>0,∴a>2.
=
=
.
当且仅当a-2=
(a>2),即a=2+
时等号成立.此时b=1+
.
∴
,此时l:
,即
;
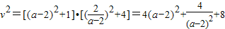
(2)由(1)知,
,
∵
,
∴
.
当且仅当
,即a=3时等号成立,此时b=3.
∴umin=4,此时l:
,即x+y=3.
点评:本题考查了直线方程的应用,训练了利用基本不等式求最值,解答的关键在于利用基本不等式求最值的条件,是中档题.
(2)由两点间的距离公式求出|PA|,|PB|,代入v=|PA|•|PB|后取平方,然后利用基本不等式求最值.
解答:解:(1)设点A(a,0),B(0,b),则直线l:
∵P(2,1)在直线l上,∴
当且仅当a-2=
∴
(2)由(1)知,
∵
∴
当且仅当
∴umin=4,此时l:
点评:本题考查了直线方程的应用,训练了利用基本不等式求最值,解答的关键在于利用基本不等式求最值的条件,是中档题.
练习册系列答案
相关题目