题目内容
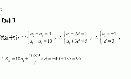
已知等差数列满足,,则它的前10项的和( )
A. B. C. D.
双曲线的离心率是2,则的最小值是 .
设函数,则函数的各极大值之和为( )
函数,(),对,,使,则的取值范围是( )
设向量与满足,在方向上的投影为,若存在实数,使得与垂直,则( )
等差数列的公差不为零,首项,是和的等比中项,则数列的前10项之和是( )
(A)90 (B)100 (C)145 (D)190
(本小题满分12分)如图,已知底角为的等腰梯形,底边长为7,腰长为,当一条垂直于底边
(垂足为)的直线从左至右移动(与梯形有公共点)时,直线把梯形分成两部分,令,
(1)试写出直线左边部分的面积与的函数.
(2)已知,,若,求的取值范围.
已知以点为圆心的圆与直线相切,过点的动直线与圆A相交于M、N两点
(1)求圆A的方程.
(2)当时,求直线方程.
下列各图中,可表示函数y=g(x)的图象的只可能是( )