题目内容
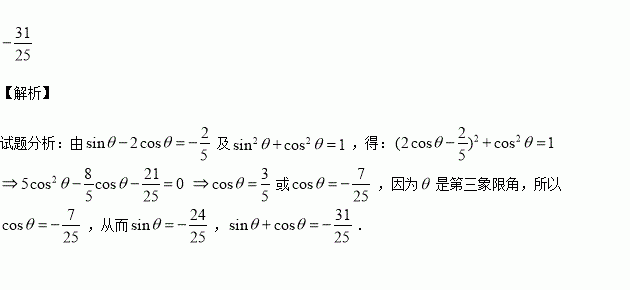
已知是第三象限角,且,则 .
已知点是圆上的任意一点,点为圆的圆心,点与点关于原点对称,线段的垂直平分线与线段交于点.
(Ⅰ)求动点的轨迹的方程;
(Ⅱ)设点,若直线轴,且与曲线交于另一点,直线与直线交于点.
(1)证明:点恒在曲线上;
(2)求面积的最大值.
“”是“方程有根”的( )
A.充要条件 B.必要不充分条件
C.充分不必要条件 D.既不充分也不必要条件
已知向量,且,则( )
A. B. C. D.
在中,已知,则的长为( )
A.2 B.1 C.2或1 D.4
若角,则( )
已知,,,那么关系是( )
坐标系中,圆的圆心的极坐标是( )