题目内容
直线(x+1)a+(y+1)b=0与圆x2+y2=2的位置关系是 .
【答案】分析:化简直线方程为直线的一般式方程,利用点到直线的距离与圆的半径比较,即可得到位置关系.
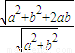
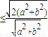
解答:解:直线(x+1)a+(y+1)b=0化为ax+by+(a+b)=0,
所以圆心点到直线的距离d=
=
=
.
所以直线(x+1)a+(y+1)b=0与圆x2+y2=2的位置关系是:相交或相切.
故答案为:相交或相切.
点评:本题是中档题,考查点到直线的距离公式的应用,基本不等式的应用,考查计算能力.
解答:解:直线(x+1)a+(y+1)b=0化为ax+by+(a+b)=0,
所以圆心点到直线的距离d=
所以直线(x+1)a+(y+1)b=0与圆x2+y2=2的位置关系是:相交或相切.
故答案为:相交或相切.
点评:本题是中档题,考查点到直线的距离公式的应用,基本不等式的应用,考查计算能力.
练习册系列答案
相关题目
直线(x-1)a+y=1与圆x2+y2=3的位置关系是( )
| A、相切 | B、相交 | C、相离 | D、与实数a的大小有关 |