题目内容

已知=(cosα,sinα), =(cosβ,sinβ),之间有关系|k+|=|-k|,其中k>0,(Ⅰ)用k表示;

(Ⅱ)求·的最小值,并求此时的夹角的大小。

 

【答案】

(Ⅰ)·;(Ⅱ)·的最小值为的夹角的大小60°.

【解析】

试题分析:(Ⅰ)用k表示,可由已知,可得,结合|k+|=|-k|,像这种与向量的模有关,可采用两边平方法,这样两边平后可得,整理后可用k表示,(Ⅱ)求·的最小值,由(Ⅰ)中函数的解析式,利用基本不等式,即可求出的最小值,利用最小值代入向量夹角公式,从而可得此时的夹角的大小.

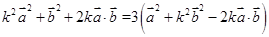
试题解析:(1)已知|ka+b|=|a-kb|,两边平方,得|ka+b|2=(|a-kb|)2

k2a2+b2+2ka·b=3(a2+k2b2-2ka·b)∴8k·a·b=(3-k2)a2+(3k2-1)b2

a·b =∵a=(cosα,sinα),b=(cosβ,sinβ),

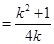
∴a2=1, b2=1,∴a·b ==

(2)∵k2+1≥2k,即=∴a·b的最小值为,又∵a·b =| a|·|b |·cos,|a|=|b|=1∴=1×1×cos。∴=60°,此时a与b的夹角为60°。

考点:平面向量的综合题.

 

练习册系列答案
相关题目

违法和不良信息举报电话:027-86699610 举报邮箱:58377363@163.com

精英家教网