题目内容
设△ABC的内角A,B,C的对边分别为a,b,c,(a+b+c)(a-b+c)=ac.
(Ⅰ)求B;
(Ⅱ)若sinAsinC=
,求C.
【答案】
(I)
;(II)
或
.
【解析】
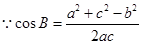
试题分析:(I)已知等式右边利用多项式乘多项式法则计算,整理后得到关系式,利用余弦定理表示出
,将关系式代入求出
的值,由
为三角形的内角,利用特殊角的三角函数值即可求出
的度数;
(II)由(I)得
的度数,;利用利用两角和与差的余弦函数公式化简
,变形后将
及
的值代入求出
的值,利用特殊三角函数的值求出
的值,与
的值联立即可求出
的度数.
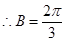
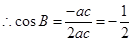
试题解析:(I)![]()
![]()
![]()
![]()
![]()
为三角形的内角
![]()
(II)由(I)得:![]()
![]()
![]()
![]()
或![]()
或![]()
考点:1.余弦定理;2.两角的和差公式.
练习册系列答案
相关题目