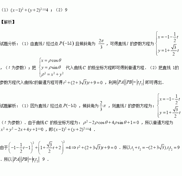
题目内容
已知曲线
的极坐标方程为:
,以极点为原点,极轴为x轴的正半轴建立平面直角坐标系,直线
经过点
且倾斜角为
.
(1)写出直线
的参数方程和曲线
的普通方程;
(2)设直线
与曲线
相交于
两点,求
的值.
练习册系列答案
相关题目
题目内容
已知曲线
的极坐标方程为:
,以极点为原点,极轴为x轴的正半轴建立平面直角坐标系,直线
经过点
且倾斜角为
.
(1)写出直线
的参数方程和曲线
的普通方程;
(2)设直线
与曲线
相交于
两点,求
的值.