题目内容
一条渐近线方程是
【答案】分析:先由双曲线的渐近线方程为y=±
x,易得
,再由抛物线y2=16x的焦点为(4,0)可得双曲线中c=4,最后根据双曲线的性质c2=a2+b2列方程组,解得a2、b2即可.
解答:解:由双曲线渐近线方程可知
①
因为抛物线的焦点为(4,0),所以c=4②
又c2=a2+b2③
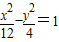
联立①②③,解得a2=12,b2=4,
所以双曲线的方程为
.
故答案为
.
点评:本题考查双曲线的标准方程,以及双曲线的简单性质的应用,确定c和a2的值,是解题的关键.
解答:解:由双曲线渐近线方程可知
因为抛物线的焦点为(4,0),所以c=4②
又c2=a2+b2③
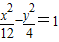
联立①②③,解得a2=12,b2=4,
所以双曲线的方程为
故答案为
点评:本题考查双曲线的标准方程,以及双曲线的简单性质的应用,确定c和a2的值,是解题的关键.
练习册系列答案
相关题目