题目内容
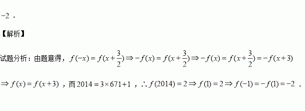
定义在上的奇函数满足,,则= .
在直角坐标系中,一动点从点出发,沿单位圆(圆心在坐标原点半径为1的圆)圆周按逆时针方向运动弧长,到达点,则点的坐标为( )
A. B. C. D.
已知函数
(Ⅰ)求函数y = f(x)的单调递增区间;
(Ⅱ)当x ∈ [0,] 时,函数 y = f(x)的最小值为 ,试确定常数a的值.
如图,正三棱柱中,E是AC中点.
(1)求证:平面;
(2)若,AB=2,求点A到平面的距离.
已知函数在区间上单调递增,那么实数的取值范围是( )
A、 B、 C、 D、
函数的定义域是 .
下列各组函数中,是相等函数的一组是( )
A.,
B.,
C.,
D.,
一束光线从点出发,经x轴反射到圆上的最短路径是( )
A.4 B.5 C. D.
若A=(x+3)(x+7),B=(x+4)(x+6),则A、B的大小关系为________.