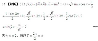
题目内容


 

  


(Ⅱ) 由(Ⅰ)知:

时,

由正弦函数图象可知,当取得最大值

所以,                                     …………8分

由余弦定理,   ………10分

从而                          ………12分


练习册系列答案
相关题目

违法和不良信息举报电话:027-86699610 举报邮箱:58377363@163.com

精英家教网